?PLC分级递阶控制在变电站综合控制中的应用
关键词 PLC分级递阶控制 变电站 智能技术?
1引言?
? 众所周知变电站是电力系统中不可缺少的重要环节,由于它担负着电能转换和电能重新分配的繁重任务,对电网的安全和运行起着重要的作用。但是,现存的许多老式变电站由于存在安全性、可靠性不能适应电力系统实时控制等一系列缺点而无法满足电力系统化的各项要求。因此提出一种安全、可靠、能提高电力系统运行、管理水平的变电站综合自动化设计方案已成为一项十分紧迫的任务。目前,已经实际运行的综合自动控制系统有:LAS系统、基于CAN/LON网的分散分布式变电站控制系统等,它们在实际应用中取得了较好的成效,但也存在着技术和经济上的各种缺点。本文在研制智能型有载调压变压器监控系统的基础上,从变电站综合自动化的大方向(即从集中控制型向分散(层)型发展;从专用设备向平台发展;从传统控制向综合智能方向发展)出发,提出了一种新型的变电站综合自动控制系统结构设计方案,可应用于变电站综合自动控制系统中,有着广泛的应用前景。?
变电站综合自动化包括的内容很多,它是将变电站的二次设备(控制信号、测量保护、自动装置及远动装置等)利用机技术、现代通信技术经过功能组合和优化设计,对变电站执行自动监视、控制和协调的一种综合性的自动化系统。以下仅以变压器有载调压监控系统为例,说明PLC分级递阶控制这种结构体系在变电站综合自动控制中是有效、可行的。?
2?PLC分极递阶控制系统的结构
可编程控制器(PLC)被称为现代控制的三大支柱(PLC、机器人和CAD/CAM)之一,具有可靠性高,易于控制,编程使用简单,性价比高,环境适应性强等特点,已被广泛地应用于控制领域,在变电站综合自动控制中也已有应用。但是PLC在数据、信息处理与图象显示等方面仍显不足,还无法与计算机相比,因而未能充分发挥其强大功能,一般只是用PLC对开关量进行控制。但近年来随着PLC通信网络功能的不断增强,已可以方便的将PLC与计算机连接。利用计算机运算速度快,信息处理方便,显示性能高的优点,将其作为上位机,行使管理功能,与PLC形成一个优势互补的分级递阶控制系统。这样,PLC就可以执行复杂的控制职能,从而可以对变电站进行最优综合控制。?
分级递阶控制思想的实质是将一个大的控制系统按功能或结构进行层次分配,将全系统的监视和控制功能划属于不同的级别去完成,各级完成分配给它的功能,并将有关信息传递到上一级,接受上一级管理。综合控制功能由最高一级决策执行,各级的工作相互协调,力求整个控制系统达到最佳效果。?
分级递阶控制依据“层次越高,智能越高,控制精度越低;层次越低,智能越低,控制精度越高”的拟人的原则进行设计。基于PLC的分级递阶控制系统共分为三级:组织级、监控/协调级和执行级。其系统结构框图如图1所示。??

(1)组织级(Organization Level)这是整个系统的最高级,其智能程度最高,执行组织管理决策的智能,对下进行指导和监控。该级对上通过人机接口与管理人员进行友善的人机对话,执行管理决策的职能。对下监视、指导协调级的所有行为。其智能程度最高,但精度不高,宜粗不宜细,以便进行宏观指导。该级还可以根据实际生产过程和环境等信息,采用人—机结合的方式自动或半自动的提出合理的控制目标或指标,形成相应的命令或任务向低层下达。这部分通常由高功能的机来完成。?
(2)监控/协调级(Coordination Level)该级主要根据组织级的命令协调下位PLC的运行,避免下位PLC发生冲突,并将下位PLC的信息传输到上位计算机。监控/协调机既可以是控制计算机也可以是主PLC或PLC终端,可根据控制要求进行选择。?
(3)执行级(?Executive Level?)这是控制系统的最低级,执行现场控制功能,是自动控制系统中控制的关键级。该级智能最低,但可靠性、控制精度和实时性要求最高,因而PLC正是最佳选择。同时,该级的PLC可通过现场总线与上位的监控协调级连接进行实时的在线控制和协调。现场总线技术一般采用塌陷结构,使用开放系统互连(OSI)模型的低层协议,因而结构简单,实时性强。?
上述结构,利用计算机运算速度快,信息处理功能强大的优势,使计算机集中管理各控制子系统,对现场信息进行综合处理,给出最优解决方案。同时,控制级计算机可以通过局域网与其它计算机相连,既可以实现资源共享,又可以使不同系统在统一调度下,协调工作,减少资源浪费。下位?PLC?或远程工作站分散后进行连网,这样,执行级各控制器件就可在现场实现分散控制,并通过将信息传递到上位控制机,使上位机进行集中管理。即使下位PLC或远程工作站个别设备出现故障,也不会导致整个系统的瘫痪,整体性能好,运行可靠。?
3?PLC分级递阶控制系统在变电站综合控制系统中的应用
当前,已有变电站将PLC引入控制系统中,但是仅仅利用PLC对开关量进行控制,如对有载调压变压器分接开关的调节,并联补偿电容器的投切等。远没有充分发挥PLC的强大功能。?
3.1在变电站综合控制系统中PLC分级递阶控制系统的结构?
利用本文上面提到的分级递阶控制结构,我们可以按照三级机构设计变电站综合控制系统。
(1)组织级的设计?
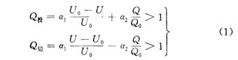
组织级是本系统的最高级,承担着最优决策的功能。当前变电站综合控制大部分仍是按照传统的九区控制方法,利用电压和无功功率双参数将变电站运行状态分为九个区,根据各个区所对应的控制方案进行调节。但是,在该控制系统中,无功调节判据是一个与电压无关的平行于电压坐标轴的固定边界,没有充分考虑无功调节与电压调节相互间的协调关系。根据“保证电压合格,无功基本平衡,尽量减少调节次数”的变电站电压和无功综合调节的基本原则,无功调节边界应当是一个受电压状态影响,且在一定范围内服务于电压调节的模糊边界。因此,我们对传统的控制策略也作了改进,引入了无功调节判据,提出了模糊边界的无功调节。基于电压与无功的相互影响,对电容器组的投切判据建立如下数学模。

式中:U0为标准电压;Q0为每组电容器的容量;U为电压实时值;Q为实时功率值;α1,α2为权重系数。?
根据上面推导出的数学模型,可以得到修正后的电压?无功双参数调节的模糊边界,如图2所示。
??
我们利用计算机进行模糊推理,得到最优控制策略,形成控制规则表,将其传递到下级进行协调控制。同时该级为操作人员提供了良好的人机界面,将电压、电流、有功、无功等信息以曲线图、柱状图等形式实时反映出来,并且在出现异常情况时可进行声光报警,使操作人员可以及时全面的了解系统运行情况,并可对生产过程进行调节和控制。该级计算机装有专家知识库,在变电站内出现故障时,可在专家系统的引导下,尽快解除故障。定时召唤打印功能和无人抄表功能可以方便的使变电站综合控制实现无人职守。根据各变电站的实际运行情况和不同时段的电压、无功波动情况,还可以通过控制级计算机设定电压整定值和灵敏度参数,而且根据控制要求还可以由功能按钮直接对有载调压变压器的分接头和补偿电容进行控制,以进一步增加控制的灵活性。?
该级的计算机还可以通过Ethernet、ARCNET等局域网进行联网,实现信息共享,对某一区域进行综合控制,这样既可以从整体上进行控制,更有利于提高整个地区的供电质量,还可以减少资源的浪费。
(2)监控/协调级的设计?
该级的主要功能是完成组织级下达的命令,负责执行级PLC的协调工作。该级可由机或主PLC构成,随着PLC性能价格比的不断提高,一般变电站的监控/协调级都可由主PLC承担。在变电站中,多变压器的同步调节主要由该级负责,同时它还负责执行级现场信息的传输,在整个分级递阶控制中起着桥梁作用。
在小型的变电站中,为了节省投资,也可以将组织级和监控/协调级集成在一个高性能的计算机中。
(3)执行级的设计?
执行级的智能程度最低,但控制精度和实时性要求最高。由于变电站电磁干扰严重,常规的控制器件难以达到精确控制,因而可靠性高、实时性好、性能价格比高的PLC是最佳选择。由于PLC与计算机联网,可以将最优控制结果下载到PLC,利用PLC实现各种最优控制。对于主要器件如主变压器,可以采用PLC的冗余技术更进一步提高可靠性。所谓PLC冗余技术即正常运行时,一台PLC作为主PLC进行控制,其它的PLC作为备用,监视系统运行。当主PLC发生故障时,由PLC协调器件指定另外一台PLC作为主PLC,控制系统运行,将有故障的PLC换下维修。由于PLC发生故障的几率十分小,采用冗余技术后的故障率几乎为零。?
现在的PLC大多提供了现场总线技术,利用组态软件可以方便的将现场的多台PLC组成现场总线局域网。现场总线采用开放式的标准总线结构,可以十分方便的将分散的智能化设备连接起来,有利于彻底的实现分布式控制,而且有利于各台PLC的协调动作,提高了系统的可靠性。?
3.2通信口的设计?
? C系列的C200H配有HOST LINK通信模块,对上可与计算机通信,进行组网连接;对下可通过RS-232、RS-485等实现近程或远程的通信,实现对生产线各个监控点的监控。本系统中链接的PLC不多,故可采用“轮询”式的工作方式,依次对链接的PLC进行数据传输。上位机对来自现场的数据经特征识别、分析判断后,针对不同的状态,再经过通信口给下级下达命令。操作人员还可经PLC终端对PLC的工作进行可视性监控,通过触摸屏开关下达命令。因此整个系统运行的正常与否和通信口的设计关系极大。为保证通信畅通可靠,在编制程序时应注意以下几点:?
(1)波特率的设定应与?HOST LINK?单元的?SW3?的设置保持一致;?
(2)为保证传输可靠,对指令帧每一字符进行“异或”逻辑运算,形成通信指令检验的FCS码;?
(3)对由HOST LINK单元返回的响应帧在判读其相应位为“00”后处理,若FCS校验错或响应帧相应位不为“00”,显示错误信息,重新发送指令。?
基于PLC分级递阶控制的变电站综合自动控制系统既吸取了集散控制系统“信息集中,控制分散”的优势,又保留了PLC所固有的可靠性、灵活性及性能价格比高的优点,同时大大降低了传统集散控制系统的成本,提高了系统性能,以最低成本来完成高技术的自动化。?
该控制系统各级之间既有分工又有联系,协调工作。同时按照现场实际控制需要,将执行级的PLC采用分散控制结构,将各个PLC分散后进行联网,一方面可将变电站的全部信息通过传至组织级计算机以实现信息集中管理,另一方面可避免因个别设备出现故障而造成整个系统的瘫痪,提高了可靠性。?
由于控制系统采用模块化结构形式,各变电站可依据自己的需要选择不同数量、不同规格的PLC模块,整个系统采用分级分散的网络结构形式,使增加或去除某些单元不会影响整个系统的功能。同时,PLC可以实现在线编程,根据不同的需要对设定值进行整定,而不需要改变整个系统结构,因而大大提高了系统的灵活性。?
4结论?
本文将PLC分级递阶控制的先进思想引入变电站综合控制中,提出了一种先进、可靠、有较高性能价格比的变电站综合自动控制系统结构设计方案。其基本思想是:通过通信网络将PLC可靠性高、灵活性好、性能价格比高的优势与计算机信息处理快、显示性能强的优势相结合,实现了变电站“管理集中,控制分散”的集散式控制。同时,将模糊控制与专家系统等智能技术引入变电站综合控制,可以有效减少分接头和补偿电容器的动作次数,减少变压器故障,提高电压质量。现场实验证明本设计可靠性高,成本低,实用性强,符合变电站综合控制向网络化、智能化的方向。??
5?
1郭宗仁等.可编程序控制器及其通信网络技术.北京:人民邮电出版社,1995:291~358?
2张乃尧,阎平凡等.神经网络与模糊控制.北京:清华大学出版社,1998:166~207?
3盛寿麟等.电力系统远程监控原理.北京:电力出版社,1998:98~152?
4NT20M Programmable Terminal Operation Manual.OMRON