进化规划(EP)法在大型水电站自动电压控制(AVC)中的应用研究①
关键词 进化规划法 自动电压控制 无功优化分配
1 引言
众所周知,电压质量的优劣对电力系统的稳定及运行有直接的影响。目前对系统中枢节点电压的控制,即系统AVC方面的研究比较多,常用的方法有灵敏度分析法、线性规划法、非线性规划法、混合整数规划法、遗传算法等。而对厂站内母线电压的控制,即厂站AVC方面,常采用灵敏度的方法进行。
厂站AVC对电力系统安全、经济运行起着十分重要的作用。首先,厂站AVC作为系统AVC的一个子系统,其控制的好坏直接关系到整个系统的运行状态。其次,厂站内发电机组均有一定的进相运行能力,若能充分利用它们的无功进相运行能
力,将大大降低无功补偿设备的投资,具有良好的经济效益。
大型水电站内一般采用单元接线方式,其调压措施通常为发电机调压,这主要是为了节省投资,并充分利用发电机的调压能力。站内AVC问题实际上是一个无功最优化的问题,即在保证站内母线电压维持在一定电压水平时,确定各机组的无功注入量,使站内损耗最小化。大型水电站AVC问题通常的解决方法是:先用灵敏度法实时估算出为消除站内母线电压偏差所需注入的无功容量,同时在线计算出各发电机组的无功限值,然后根据优化目标函数对无功进行优化分配。解决这一无功优化分配问题的常规方法是等网损微增率法,这种方法计算简单,不须迭代,计算速度快,但在计算过程中未考虑不等式约束条件,不能最大限度地降低网络损耗。采用进化规划(EP)法解决这一优化问题,用罚函数的形式将各种约束条件考虑进去,能够获得满足约束条件的全局最优解,使全站网损最小化。虽然EP法速度比等网损微增率法稍慢,但由于大型水电站内调压措施不多,并且不须进行潮流计算,在速度上一般能满足工程要求。
2 大型水电站内AVC优化模型
大型水电站内调压措施通常为发电机调压,通过调节励磁来调节发电机无功输出,从而进行电压调整。这就要用优化的方法来确定各台发电机组的无功调节容量。其优化数学模型包括等式约束方程,变量约束条件和目标函数。
2.1 等式约束方程
发电厂内主要通过调节发电机无功来调节电压,这并不破坏有功功率的平衡,因而等式约束只有无功平衡约束方程
式中:
QmΣ—由灵敏度法计算出的为维持母线电压所需的总无功注入量;
Qmi—第i台发电机接入母线侧的无功注入量;
n—参与无功调整的发电机总台数。
水电站内总有功损耗:
式中:
Pmi,Qmi—第i台发电机接入母线侧的有功及无功注入量;
Um—站内母线电压;
Rti—变压器折算至高压侧的电阻
2.2 变量约束条件
变量系指各台发电机组的无功注入量,它受到一定约束条件的限制:
Qimax,Qimin为第i台发电机所发无功上、下限值,它主要受到定子发热、转子发热、机端电压以及静稳等条件的限制,可通过实时在线计算获得。
2.3 目标函数
本文采用综合罚函数的形式,给出如下的目标函数:
式中,λ为罚因子,在早期进化过程中,λ取值范围为1~10,在进化过程中后期,λ取值范围为10~100。
3 进化规划(EP)
进化规划(EP)法是由美国学者FogelLJ在本世纪60年代提出的,它通过模拟进化过程解决一般的优化问题,获得全局最优解。进化规划主要包括四个步骤:产生初始群解、统计(statistics)、变异(mutation)、竞争(competition)和再生(reproduction)。
3.1 产生初始群解
将参与无功调整的n台发电机的无功注入量作为优化问题的一个解,也称为一个个体,即
Xi=[Qm1,Qm2,…,Qmn]
式中,Xi表示第i个个体。
按如下方法随机产生一组初始群解(共有k个个体):
式中,RND为随机数,0<RND<1。
将这k个初始解作为母体,k值的大小由外部指定。
3.2 统计(statistics)
将每个解代入目标函数作为解的适应值,即
fi=F(Xi) i=1,2,…,k
并求这组适应值的最大值fmax,最小值fmin,平均值f及总和fΣ。
3.3 变异(mutation)
将当前解群中的每个解进行变异运算,变异量根据该个体的适应值的大小采用高斯分布方式确定

这样就由原来的k个个体变异为2k个个体。
3.4 竞争(competition)和再生(reproduction)
对这2k个个体进行统计操作,得到2k个适应值。对每个个体,按下面的方法它的权重,其中

这里s为与第i个个体竞争的个体数;r=int(2kμ2),int(x)为不大于x的最大整数;μ1,μ2为0∽1的均匀分布。对这2k个权重值进行排序,选择权重值最大的k个个体作为产生下一代的母体。
4 EP法应用于大型水电站内无功优化的程序
计算流程图如图1所示。图中虚红框内是用EP法进行无功优化的模块。

5 仿真计算
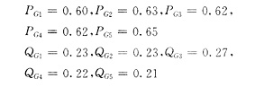
本文对具有5台发电机—变压器组(其中一台机组不参与无功分配)、四回出线(两回送系统,两回送地方负荷)且采用单元接线方式的大型水电站,分别运用等网损微增率法及EP法进行站内无功优化仿真计算,可得下述结果。
调整前:
母线电压偏差:-1.5%
各机组所发有功及无功:

调整后:
母线电压偏差:0.2%
站内总的损耗:
对以上的仿真结果,有如下几点需要说明:
(1)在五台发电机组中,第三台机组不参与无功调节,当采用等网损微增率法进行无功优化时,第二、第五台机组无功越上限,故均取为上限值。而采用EP法进行无功优化时五台机组均未越限;
(2)在EP法优化程序中,可调参数有两个,即罚因子λ和修正因子β。通过调整罚因子λ的大小可调整等式约束在目标函数中的惩罚力度,修正因子β则用来调整每个个体的变异量。
6 结论
(1)EP法具有强壮的全局搜索能力,适用于解决一般的优化问题,特别是目标函数非线性、非凸且不可微的优化问题;
(2)等网损微增率法作为传统的解决无功优化的方法,它的计算速度快,但在优化效果上不及EP法;
(3)运用EP法解决大型水电站内无功优化分配问题,由于在程序中不须进行潮流计算,因而计算速度比较快,一般能满足实时在线计算的要求;
(4)EP法理简单,操作方便,在解决电力系统无功优化及其它各类优化问题中具有广阔的应用前景。
7
1 Q H Wu,JT Ma.Power System OptimalReactive Pow-er Dispatch Using Evolutionary Programming.IEEE Transaction on Power System.
2 郭嘉阳.大型水电站超高压母线电压及无功功率最优实时控制:[学位].武汉:华中理工大学,1988.
3 韦鹤平.最优化技术.上海:同济大学出版社,