基于地理信息系统的农村电网规划方法的研究
关键词 GIS 农网规划 变电站选址 路径优化
1 引言
配电网规划问题在数学上是一个NP—hard问题,近几年,虽然采用启发式算法,如遗传算法、模拟褪火算法、Tabu搜索等,在解决配电网规划的全局优问题上也取得了一些突出的成果。但是还存在如下不足:1)求解规模和变电站位置优化的局限。2)由于规划模型及寻优过程中难以考虑地理因素,致使规划的结果不适宜。3)规划不直观、不可视。
鉴于上述不足,并考虑到农网规划有其自身特点,因其变电站位置和10 kV路径选择有更多的任意性,致使问题规模更大,求解更难,本文提出利用GIS技术改进农网规划的设想,并提出基于GIS的子系统模型及算法,使问题规模大为缩小,实例验证该方法能够解决大规模的农网规划问题。
2 基于GIS的农网规划应用系统的总体结构设计
2.1 在农网规划中引入GIS的优越性
从农网规划本身来看,利用GIS有如下几点优越性:
(1)GIS是结合CAD技术和数据库技术的空间数据库系统,在进行农网规划时,能够通过数据访问方便地获得变电所、负荷点的位置坐标。GIS还具有空间分析的功能,在变电站选址寻优过程中,能够利用其避开障碍物。(2)借助GIS,避免了烦琐的节点编号、支路编号。(3)利用GIS便于规划人员进行前期分析:提供地理背景便于确定待选变电站、待选线路的长度和路径(不需再作测量);图形数据和属性数据的双向检索。(4)方案调整灵活。(5)可视、交互。
2.2 基于GIS的农网规划应用系统的总体结构设计
2.2.1 总体设计思想
基于GIS的农网规划应用系统的总体设计思想是:主功能界面基于通用GIS软件(如GeoMediaPro 3.0、ARC/INFO、MapInfo等),研究与GIS相结合的农网规划模型及算法,针对研究提出的模型和算法,编制相应的程序模块。将各模块与GIS集成。
2.2.2 总体结构
本文设计的“基于GIS的农网规划应用系统”由如下几个模块构成:农网规划GIS数据库、变电所优化布局模块、10 kV线路优化规划模块等。系统的总体结构如图1所示。

3 基于GIS的农网子系统规划模型及算法
3.1 基于GIS的变电站优化布局模型和算法
在中心地理论的应用模型中,有离散型多场址选择模型、离散型单场址选择模型、连续型多场址选择模型和联系型单场址选择模型[1,2]。
解决变电站优化布局问题可采用离散型多场址选择模型和连续型多场址选择模型。本文采用连续型多场址选择模型。具体到每一个变电站的位置选择又需要用单场址选择模型。
本文中,先把变电所合理布点问题看作是一个连续性问题,借助GIS的空间分析功能,优化出的变电所位置若是居民区或林地、水域等不适宜的位置,则重新进行负荷分配,进而重新确立变电所的位置。
基于此,本文将变电所合理布点问题描述为:
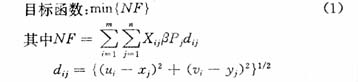
已知:(1)n个负荷点的位置(xj,yj),(j=1,2Λn)
(2)各负荷点的负荷为Pj
求负荷非均匀分布条件下:
(1)变电所的优化数目m,
(2)各变电所的最优区位(ui,vi),(i=1,2Λm)
(3)确定各变电所的优化供电区域,为此,设置决策变量Xij


约束条件:1)保证对所有负荷点供电,一个负荷点只能由一个变电站供电;
2)满足变电所容量约束:容载比不低于1.8-2.1。
式中β——农网单位距离、单位负荷的年费用系数;
Pj——负荷点j的规划年负荷(MW)。
其中β=NF/PlLjj (2)![]()
式中NF——供电半径下的农网年费用,其式详见[3];
Pl——10 kV线路的传输功率。
Ljj——经济供电半径(km),对文献[4]的计算结果进行处理而得。
ml——10 kV线路出线条数(ml=6)。
ms——平均负荷密度下优化变电站数量。
上述模型在GIS软件系统的支持下,求解起来要方便得多。因为在GIS环境下,能方便获取各负荷点的坐标、各变电所的坐标。而且计算结果也可在屏幕上显示出来。这也是GIS对农网规划的变电所优化布局的重要贡献。
本文基于分组交替选址法的思想[1],求解上述模型,实现步骤如下:
(1)令变电所的个数为m=ms-2,ms-1,ms,ms+1,ms+2;
(2)将n个负荷点划分到m个子集中去,确定初始
;
(3)对m个子集中的每一个,采用单场址选择模型,并用迭代法求出各子集中变电所的初始位置(ui,vi)(i=ms-2,ms-1,ms,ms+1,ms+2);
(4)计算每个负荷点由各变电所供电的年费用βPjdij,年费用最小的X为1,其余为0,确定出负荷点j由哪一变电所供电年费用最小(即确定出
)。检查是否与
一致,若一致,则选址结束,否则,按
重新确定负荷划分方案,再继续步骤(3)的变电所位置选择。


3.2 基于GIS的10 kV线路优化规划
变电所优化布局结果实际已确定出各变电所的优化供电区域。10 kV线路的优化规划实际是分区进行优化的。本文建立10 kV线路优化规划模型以电网年费用最小为目标函数。其数学模型表示如下:
(1)目标函数

式中δk——待选线路k被选中与否的0-1决策变量;
λ——投资回收系数;
γ——维护率;
lk—待选线路的长度(公里);
C——单位长度10 kV线路的综合造价(万元/公里);
mb——待选线路数目,这里将部分已有的线路也作为待选线路参与优化;
ΔP——某辐射线路的有功功率损失;
mf——辐射线路(路径)的数目,也是根支路的数目;
τmax——10 kV线路的最大损耗时间;d——综合电价,取0.5元/kWh。
(2)约束条件:
1)保证对所有负荷点供电
2)满足辐射型约束
3)满足线路电压损耗约束,即:
![]()
ΔUmax%——允许最大电压损耗百分数(%), 取5%。
由于本文的10 kV线路的优化是分区进行的,对于每个区,0-1变量相对要少得多。为此,本文采用隐枚举法,方法简便,计算准确。
4 应用实例
某电网原有35 kV变电站3座,110 kV变电站7座,负荷点366个,10 kV线路304条,2005负荷预测值为290 MW。利用本应用程序得出该电网2005年变电站的优化数量为11座,利用本文提出的方法得到该县2005年变电站合理布局结果如图2所示。10 kV线路规划结果略。
[5]提出用遗传算法解决配网规划问题,该算法用于有2个变电站、50个负荷点、60条10kV线路的配电网,计算时间为30多分钟。当问题规模增大时,计算时间成指数增长。本文提出的模型及算法不存在问题规模与计算时间问题。而且,模型中农网单位距离、单位负荷的年费用系数考虑了农网三个电压等级电力设施的费用,以保证全局优。实例证明本文提出的方法能够解决大规模农网规划问题以及城市配电网规划问题。

5 结论
通过研究,本文得出如下结论:
(1)本文首次用中心地理论中的“空间位置-配置”模型来解决农网规划中的变电站合理布局问题。建立了相应的模型,使问题规模大为缩小。所提出的基于GIS的农网子系统规划方法为解决大规模农网规划问题提供了新的方法。
(2)本文提出的基于GIS的农网规划方法的应用,将改变农网规划模式,为农网规划实现可视化、交互式规划和自动化规划提供的手段和方法
6 文献
1 陈述彭,鲁学军等.地理信息系统导论.北京:科学出版社,2000
2 王桥,阎守邑,赵健.地理信息系统中的区域规划模型及其管理.北京:宇航出版社.1998
3 汤红卫.基于GIS的农村电网规划方法的研究.[博士学位].北京,农业大学,2001
4 汤红卫.农村电网电压质量综合优化.中国农村电气化学术论文集,1978~1998
5 V Miranda,JV Ranito.Genetic algorithms in optimalmulti-stage distribution network planning.IEEETrans Power System,1994,9(4):1927~1933.