大型电动机高阻抗差动保护原理、整定及应用
Abstract:This paper expatiated the principle, setting and application of high impedance differential protection in large motor with whole solid setting example.The influence of CT ratio error to high impedance differential protection is analyzed, and the measurement of CT ratio error is also introduced.
Key words: high impedance differential protection ratio error
关键词:高阻抗差动保护 匝数比
论文摘要:本文阐述了大型电动机高阻抗差动保护原理及整定原则和整定实例。分析了CT匝数比误差对高阻抗差动保护的影响,并介绍了匝数比误差的测量方法。
1概述
高阻抗差动保护的主要优点:1、区外故障CT饱和时不易产生误动作。2、区内故障有较高的灵敏度。它主要作为母线、变压器、发电机、电动机等设备的主保护,在国外应用已十分广泛。高阻抗差动保护有其特殊性,要保证该保护的可靠性,应从CT选型、匹配、现场测试、保护整定等多方面共同努力。现在我国应制定高阻抗差动保护和相应CT的标准,结合现场实际情况编制相应的检验规程,使高阻抗差动保护更好的服务于电网,保证电网安全。
2高阻抗差动保护原理及定值整定原则
2.1高阻抗差动保护的动作原理:
(1)正常运行时:原理图见图1,∵I1=I2 ∴ij=i1-i2=0. 因此,继电器两端电压:Uab= ij×Rj=0. Rj-继电器内部阻抗。
电流不流经继电器线圈,也不会产生电压,所以继电器不动作。

(2)电动机启动时:原理图见图2,由于电动机启动电流较大,是额定电流的6~8倍且含有较大的非周期分量。当TA1与TA2特性存在差异或剩磁不同,如有一个CT先饱和。假设TA2先饱和,TA2的励磁阻抗减小,二次电流i2减小。由于 ij=i1-i2 导致ij上升,继电器两端电压Uab上升。这样又进一步使TA2饱和,直至TA2完全饱和时,TA2的励磁阻抗几乎为零。继电器输入端仅承受i1在TA2的二次漏阻抗Z02和连接电缆电阻Rw产生的压降。
为了保证保护较高的灵敏度及可靠性,就应使Uab减少,也就是要求CT二次漏阻抗降低。这种情况下,继电器的整定值应大于Uab,才能保证继电器不误动。
(3)发生区内故障:原理图见图3,i1=Id/n (n-TA1电流互感器匝数比) ij=i1-ie≈i1Uab=ij×Rj≈i1Rj此时,电流流入继电器线圈、产生电压,检测出故障,继电器动作。由于TA1二次电流i1可分为流向CT励磁阻抗Zm的电流ie和流向继电器的电流ij。因此,励磁阻抗Zm越大,越能检测出更小的故障电流,保护的灵敏度就越高。

2.2高阻抗差动保护的整定原则及实例
(1)整定原则:
a)、保证当一侧CT完全饱和时,保护不误动。
式中:U-继电器整定值;US-保证不误动的电压值;IKMAX-启动电流值;

b)、保证在区内故障时,CT能提供足够的动作电压:
Uk≥2US (3)
式中:Uk-CT的额定拐点电压。
CT的额定拐点电压也称饱和起始电压:此电压为额定频率下的正弦电压加于被测CT二次绕组两端,一次绕组开路,测量励磁电流,当电压每增加10%时,励磁电流的增加不能超过50%。
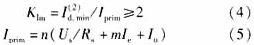
c)、校验差动保护的灵敏度:在最小运行方式下,电动机机端两相短路时,灵敏系数应大于等于2。
式中Iprim-保证继电器可靠动作的一次电流;n、Us-同前所述;m-构成差动保护每相CT数目;Ie-在Us作用下的CT励磁电流;Iu-在Us作用下的保护电阻器的电流;Rs-继电器的内阻抗。
电动机参数:P=7460KW;Ir=816A。CT参数:匝数比n=600;Rin=1.774Ω;Uk=170V。
CT二次侧电缆参数:现场实测Rm=4.21Ω。
差动继电器(ABB-SPAE010)参数:整定范围0.4-1.2Un ;Un=50、100、200可选;Rs=6K。
Us: US=IKMAX(Rin+Rm)/n=10Ir(Rin+Rm)/n=10×816(1.774+4.21)/600=81.38V
选取Us=82V
校验Uk:∵Uk=170V ∴Us在85V以下即可满足要求。
确定继电器定值:选取Un=100;整定点为0.82;实际定值为82V。
校验灵敏度:通过查CT及保护电阻器的伏安特性曲线可得在82V电压下的电流:Ie=0.03A Iu=0.006A Iprim=n(Us/Rs+mIe+Iu)=600(82/6000+2×0.03+0.006)=47.8A。
由此可见,高阻抗差动保护的灵敏度相当高,这也是该保护的主要优点之一。
3高阻抗差动保护的应用
3.1高阻抗差动保护在应用中除了应注意:
(1)、CT极性及接线应正确;(2)、二次接线端子不应松动;(3)、不应误整定;(4)、CT回路应一点接地等。还应注意:(1)、CT二次应专用;(2)、高阻抗差动保护所用CT是一种特别的保护用CT。为了避免继电器的误动作,对CT有三个要求:励磁阻抗高、二次漏抗低和匝数比误差小。高阻抗差动保护用的CT设计要点是:依据拐点电压及拐点电压下的励磁电流来确定铁芯尺寸。对于高阻抗差动保护用CT的特性匹配至关重要,在实际选用时应采用同一厂家,同一批产品中特性相近、匝数比相同的CT。
3.2下面主要探讨CT匝数比误差对高阻抗差动保护的影响
(1)匝数比n为二次绕组的匝数与一次绕组匝数的比值。匝数比的误差εt定义如下:
εt=(n-Kn)/Kn (6)
式中,Kn-标称电流比。
国外标准中规定此种CT的匝数比误差为±0.25%。
(2)匝数比误差要小:
当电动机启动时(见图2),电流互感器TA2未饱和,CT的二次电流接近于匝数比换算得来的数值,这是由于TA2未饱和时励磁阻抗较高的原因。一般情况下高阻抗差动保护用CT励磁阻抗为几十千欧姆的数量级。如果匝数比的分散性很大,TA1和TA2的二次电流i1和i2不能互相抵消,该差值电流ij流经继电器线圈,即成为产生误动作的原因。
(3)、匝数比误差规定为±0.25%,对于不同匝数比CT不尽合理。匝数较大CT容易满足该规定并且能保证保护不发生误动作。匝数较小CT即使满足该规定,在电动机启动时的差电压也较大,足以造成保护误动作。
下面列举两个例子:

a).两侧CT匝数比均满足±0.25%。假设:n1=3609(正误差);n2=3591(负误差)。
匝数比误差产生的不平衡电流:ij=(10×3600/3591-10×3600/3609)=0.05A
继电器两端不平衡电压:Uj=ij×Rs=0.05×6000=300V
Uj大于继电器整定值,保护在这种情况下将不可避免的发生误动作。
b). 两侧CT匝数比相对误差满足±0.25。假设:n1=3609;n2=3600。
匝数比误差产生的不平衡电流:
ij=(10×3600/3600-10×3600/3609)=0.025A
继电器两端不平衡电压:Uj=ij×Rs=0.025×6000=150V
Uj小于继电器整定值,可满足工程要求。
例2:所有参数与整定计算实例相同。
a).两侧CT匝数比均满足±0.25%。
设:n1=601(正误差) ;n2=599(负误差)。
匝数比误差产生的不平衡电流:
Uj远大于继电器整定值(82V),保护将发生误动作。
b). 两侧CT匝数比相对误差满足±0.25%,假设:n1=601 n2=600
匝数比误差产生的不平衡电流:

Uj=ij×Rs=0.0226×6000=135V
Uj仍大于继电器整定值,保护将发生误动作。
通过上述两例足以说明对于高阻抗差动保护CT选择的苛刻条件,选择时应遵守CT匝数比误差相近的原则。建议在整定原则中增加继电器整定电压应大于由于匝数比误差产生的差电压,以保证高阻抗差动保护的可靠性。
3.3匝数比误差的测量
测量的方法有两种:

第一种:在CT二次侧短路状态下,测量流经额定一次电流i1时的比值差f1,设此时励磁电流为i0,则 f1=-εt-i0/i1
二次回路连接与二次绕组阻抗相等的负荷,在额定一次电流的1/2电流下测量比值差f2,这时仍设励磁电流为i0,则 f2=-εt-2i0/i1
匝数比误差为:εt=f2-2f1
第二种方法:在测量CT伏安特性的同时测量一次绕组的电压。
一次绕组开路,二次绕组加电压,测量一次绕组的电压,如图5。
CT匝数比n=U1/U2;匝数比误差εt=(U1/U2-Kn)/Kn。