一起热轧主传动机电系统振荡的故障处理
1 引言
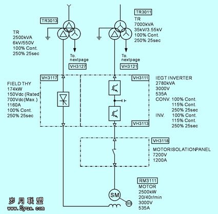
某热轧厂r1轧机为上下辊可逆轧机,电机功率为2500kw,采用三电平拓扑结构的大容量变频装置驱动,系统单线图如图1所示。自投产以来,该轧机运行基本稳定;但在轧制钢种硬度较高以及大压下量时,多次发生在粗轧机上很少出现的上下辊通过轧制材料形成的联合振动现象,电机电流瞬间剧烈波动到额定电流的320%,导致变频装置过电流跳电,跳电波形如图2所示。通过投入sfc(外扰模型前馈控制)功能,并对速度环的控制响应进行切换控制,即正常速度环的响应频率为30rad/s,在咬钢0.75s后把速度环响应频率切换到15rad/s,抛钢前再切换到30rad/s。通过上述措施后r1电机的速度振荡明显减弱,满足了轧钢要求。

图1 三热轧r1 电气传动单线图

图2 典型跳电波形
2 故障分析
2.1 联合速度振动的原因分析
轧机的主传动系统是由若干个惯性元件与弹性元件组成的“质量弹簧系统”。r1上辊轧机的传动数学模型如图3所示。在稳定加载时,系统不会发生振荡;但在轧制负荷扰动下,“质量弹簧系统”会发生不稳定的周期性的扭振,扭振的频率就是质量弹簧系统的固有扭振频率。如果该固有频率与电气频率相吻合,整个传动系统处于不稳定状态,扭振状态的峰值转矩要比正常值大得多,加剧了扭振对传动轴系各部件的损坏。

图3 r1上辊传动数学模型
图3中: m1 — 电机的驱动力矩;
m2 — 轧辊上的轧制力矩;
j1 — 电机转子的转动惯量;
j2 — 轧辊的转动惯量;
m12 — 连接轴的扭矩。
一般大型轧机主传动系统的固有频率为(10~20)hz。为了避免机电系统的固有频率与电气系统的频率相吻合,要求机电系统的固有频率与电气系统的频率错开(3~5)倍以上。已知该r1上辊轧机的固有扭振频率为21.8hz,下辊轧机固有振荡频率为18.1hz。r1上下辊传动系统的速度环响应角频率ωc为30rad/s,对应的电气频率为30/2π=30/6.28=4.78hz。则f机电固有频率/f电气频率=18.1/4.78=3.78>3。说明原设计的电气控制频率与单机架轧机的固有振荡频率是基本错开的,不易发生单机架机电系统的共振。
r1是上下辊可逆轧机,系统结构如图4所示。在通常情况下,由于轧制材料温度高、压下量适中,轧制材料动态弹性系数低,能产生一定阻尼力来衰减上下辊的振动。但当轧制材料温度低、硬度高及高压下量时,轧制材料的阻尼力会减少,从而上辊轧机通过轧制材料与下辊轧机连接成一联合振动体。联合体的传动数学模型如图5所示。
根据公式: 
通过仿真模型,出联合体的固有频率大约在8hz左右。原先电气控制系统设定的速度环响应角频率为30rad/s,对应的电气频率为4.78hz。f联合体固有频率/f电气频率=8/4.78=1.78<3,从而造成电气系统的频率与联合体的固有频率相接近,造成上下辊联合振动,速度波动大,相应的电机电流波动加剧,超过过电流限幅值,使变频装置跳电。当咬钢0.75s后速度环响应频率切换到切换到15rad/s,则对应的电气频率为2.39hz。f联合体固有频率/f电气频率=8/2.39= 3.57>3基本躲过了上下辊联合体的固有频率,避免了共振的出现。与此同时,通过投入sfc功能,连接轴产生的扭振幅度与持续时间也缩短,从而明显减小了速度波动,维持了轧制的稳定运行。
图4 上下辊、轧制材料的联合体结构图
图5 上下辊、轧制材料的联合体传动数学模型
3 故障处理
3.1 对速度环的控制参数的进行切换控制
笔者把该r1上辊电机的设计参数与国内同类热轧r1轧机的参数进行比较,如附表所示。该厂r1上下辊电机的转动惯量小,大约只有国内同类r1轧机的55%,从而整个r1上辊机电总转动惯量也明显减小。这样的优点是减小了电机的体积与制造成本,可以满足更高动态要求。但是当电机的转动惯量减小,即图6中gd2减少,当承受冲击负荷时动态速降增加,对板形及轧机的稳定运行带来一定的影响,甚至会卡钢。


图6 速度控制框图
系统设计时,为了避免过大的动态速降,必须提高传动系统的动态响应频率到30rad/s;但在轧制钢种硬度较高以及大压下量时,该联合振动频率与电气频率接近,造成上下辊联合共振。为了避免上下辊联合振动,速度环的响应速度又不得不降到15rad/s。抛钢时为了避免太大的速度上升,又不得不把速度环的响应提高到30rad/s。
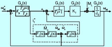
3.2 投入sfc控制
一般双闭环控制系统在轧制扰动时,如咬钢时,进入轧辊间的板带的变形阻力使轧机传动受到很大的制动力矩,破坏了原有的转矩平衡关系,电机的速度很快地减速,速度调节器输出的转矩电流给定增加,试图使电机的电压增加。但另一方面,由于电机的转速降低,电机的反电势降低,电机的电流迅速增加,电流负反馈增大,它力图通过电流调节器使电机的电压减少。这两个调节作用是矛盾的,由于电流环响应快,从而延缓了转矩的增加速度,拖长了达到转矩平衡的时间,加大了动态速降的幅度。这说明一般双闭环控制系统对轧制扰动的动态调节方面存在不足。
sfc是日本学者提出的一种工程简化的外扰观测控制系统,sfc的功能图如图7所示。f1(s)、f2(s)、f3(s)构成sfc模拟器。该模拟器取电流给定作为输入量,经过一个等效电流环时间常数的惯性滞后环节
,近似得到电机的电磁转矩
,再经过积分环节
得到没有外扰条件的电机转速
,用该转速与实际电机转速相减,求出受外扰影响下的速度变化
,再经f3(s)即比例环节输出外扰电流的补偿量加到电流给定值中去,消除外扰影响。sfc投入前后动态加载时动态波形如图7所示。由图8所示sfc投入后连接轴在承受冲击负荷时,产生的扭振要比单纯双闭环控制系统有所改善,但并不能消除扭振。可以这么说,sfc是治标不治本。

图7 sfc控制框图

图8 sfc投入前后扭矩的波形
4 结束语
由于原轧机设计时,电机转动惯量小,抗负荷扰动能力差;以及没有考虑到上下辊轧机可能通过轧制材料构成联合共振,从而导致上下辊轧机速度振荡,变频装置保护跳电。通过投入sfc控制,并对速度环的控制参数进行切换控制。一方面,提高了r1轧机抗扰动能力;另一方面,通过速度控制参数切换,避免出现联合共振。处理后r1轧机运行稳定,满足了工艺轧制要求。但尽管采取上述措施后r1轧机抗扰动能力增强,但在负荷扰动时速度仍然有一定的波动,只是不影响正常轧制。
[1] 陈伯时,陈敏逊. 交流调速系统. 北京:机械出版社,1997
[2] 李崇坚,段魏. 轧机传动交流电机机电振动控制. 北京:冶金工业出版社,2003