直流电力牵引中不平衡电流及谐波对地铁信号系统的影响

来源:岁月联盟 作者:朱宏 王伟 时间:2010-08-25
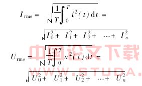
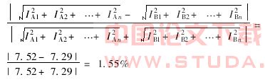
摘 要 探讨了直流电力牵引的整流原理及谐波成分。通过现场动态测试,分析了直流电力牵引不平衡电流对轨道电路的影响。单列列车运行时所产生的谐波成分及牵引不平衡电流对信号系统的影响都在允许的范围之内。   关键词 地铁,信号系统,电磁干扰,谐波,不平衡电流   车辆的电力牵引系统多采用轨道作为其回流线,与轨道电路利用同一对钢轨传输电能和信息。尽管从系统设计、工程技术(回流线、平衡棒、迷流网、轨旁选频)等环节做了许多防范,然而,直流电力牵引对轨道电路信息是否具有干扰以及干扰机制尚无定论。上海轨道1、2、3号线均采用直流电力牵引方式,与我国电气化铁路的交流电力牵引有很大的不同。直流电力牵引对地铁信号系统的电磁干扰研究作为一个新的课题,值得研究探讨。1 牵引供电方式      上海轨道交通的直流1500V牵引供电系统采用“浮空”供电方式(即正、负极均不接地)。图1为地铁牵引供电系统示意图。其中,牵引变电所正极→接触网(图中线1)→车辆负载(图中线2)→轮对→轨条→回流线(图中线3)→牵引变电所负极(图中线4),构成供电系统主回流。另外,由于钢轨直接敷设在整体道床中(整体道床中预制钢筋组成排流网),钢轨对地并非完全绝缘而形成迷流(图中线5),经迷流收集网和二极管回流到牵引变电所的负极,以减缓洞体和道床中钢结构骨架的电化腐蚀。      目前上海轨道交通牵引供电方式有两种:①直接用高压三相电网电压,由牵引变电所6相牵引变压器变压,经全波整流形成相对平滑、12脉波的1500V直流电压;②由前、后各相移7.5°的2组6相牵引变压器,并联成12相电压,再经全波整流形成具有24脉波的1500V牵引电压,给牵引接触网供电。以后一种方式为例,12相全波整流24脉波的1500V“直流”电压,经其理想波形的脉动系数仅为50/1500≈3.3%。应该说,它对信息传输系统的影响很小。因此,研究电力牵引对轨道电路传输系统的影响,切入点应该是在列车运行期间,由于电源波动、整流件换向、大负载变化、列车起动或制动、供电臂切换、车辆逆变[2]等产生的谐波的影响以及不平衡电流的影响。2 牵引电流的谐波对信号系统的影响      通过在线动态监测,当全线仅一列试验车运行时,牵引电压、电流随列车运行状态而有明显变化。实际监测结果如图2所示。  从该图中可以看出:      接触网1500V“直流”电压波动范围为1400~1800V,且时有突变;      列车制动时逆变反馈电压增幅近100V;      接触网直流电流波动范围为0~1400A,与列车运行关系密切。减速滑行不耗能,且时有逆变反馈电压;      接触网交流电流波动,峰峰值近100A,其谐波能量应予以特别关注。      测试结果说明,接触网电压、电流随列车状态而有明显变化。它们产生的相对高能谐波成分可能会随机地介入到地铁信号传输系统的频带内。3 牵引电流不平衡对信号系统的影响      两侧轨道阻抗的不平衡会造成牵引电流在两轨条上流过不相等的电流值,从而在轨间形成不平衡电压差ΔV=V左轨条-V右轨条。该电压差和轨道电路信号叠加,其谐波极有可能干扰轨道电路信号的正常传输。3.1 牵引电流不平衡系数      牵引电流不平衡示意图如图3所示。  牵引电流不平衡系数[3]      式中:IS1为第一根钢轨中的牵引回流电流;IS2为第二根钢轨中的牵引回流电流。3.2 牵引电流不平衡对轨道电路影响测试      在现场按图4所示对牵引电流不平衡进行了测试。I棒的中心是牵引电流回流点,选取A、B两点,来比较两条钢轨上的牵引电流。测试的电流波形如图5所示。  根据前面分析,在直流电力牵引方式下,牵引电流的直流部分不会对信号造成干扰,所以只分析牵引电流的交流部分的不平衡系数。      由非正弦信号有效值的定义式:      式中:T为周期;i为周期电流;u为周期电压;I0~In为各次电流谐波分量;U0~Un为各次谐波电压分量。  测得数据的牵引电流交流成分的不平衡系数为:  测试中所得的牵引电流不平衡系数小于国家标准规定值(5%[5])。因此从测试结果来看,轨道的牵引电流是符合要求的。4 结语      直流电力牵引方式对地铁信号系统的影响,主要来自其非理想直流中的交流成分所产生的谐波和牵引电流的不平衡。它产生的谐波成分,可能会随机地介入到地铁信号传输系统的频带内,对信号系统的传输造成影响。它的交流成分也可产生牵引电流的不平衡,从而影响信号系统的传输。      对动态监测获得的大量数据进行分析,发现谐波成分及牵引不平衡电流对信号系统的影响都在允许的范围内。然而,测试过程中只使用了一列车,这和实际运营时的情况是不同的。因此在实际运营环境下,直流电力牵引对信号传输系统会不会产生影响还有待进一步研究。 [1]郑瞳炽,张明锐.城市轨道交通牵引供电系统[M].北京:铁道出版社,2003:4.[2]徐安.城市轨道交通电力牵引[M].北京:中国铁道出版社,2003:103.[3]铁道部科技情报研究所.国外无绝缘轨道电路及ATCS[R].1988:4.[4]李建民,尹传贵.城市轨道交通牵引供电系统谐波分析[J].城市轨道交通研究,2004(6):46.[5]TB/T3073-2003 铁道信号电气设备电磁兼容性试验及其限值[S].

图片内容