基于目标特征的灰度直方图重分布图象增强算法
来源:岁月联盟
时间:2010-08-30
1 引言
在数字X线成像系统中,由于人体结构和组织比较复杂,以及X线散射、电器噪声和光量子噪声等各种因素的影响,使得X线医学影像表现为动态范围宽、细节丰富和对比度差等特点。为便于医生对病灶或感兴趣区域正确诊断,通常需要对图像进行对比度增强处理,以改善图像的视觉质量。由于医学图像的特殊性,改善图像质量应该以不丢失图像细节,不引入过大的噪声及不引起细节失真为前提,以避免误诊。为了提高微钙化点检测的灵敏度,许多研究者已经提出了不同的图像增强方法。中常用的图像特征增强方法有:直方图均衡[1~3]、各种滤波器增强方法[4]、小波变换特征增强[5]和一些其它的增强算法等。存在的问题是,不仅微钙化点,而且背景组织也得到了增强,使得微钙化点不能从增强的噪声和背景中区分出来,导致检测结果的假阳性和假阴性都很高。 针对这一问题,本文提出基于目标特征的非线性灰度重分布算法来实现图像的增强,在乳腺X射线影像处理过程中,首先根据目标图像的特征(比如均值、或者由微分算子求得的边缘)将原图像划分为目标区域和背景区域,然后对目标区域进行非线性灰度变换图像增强,对背景区域进行线性灰度变换图像增强。该算法在增强微钙化点的同时抑制了背景,增强了对比度,有助于医师观察以及后续处理。2 基于目标特征的灰度重分布图像增强
2.1 目标特征
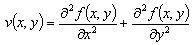
描述微钙化点的特征有灰度均值、方差和边缘特征等。由于微钙化点的灰度值相对背景较高,所以,只要灰度值与其邻域灰度均值的差值或者梯度值、方差达到一定的门限,该点就有可能是微钙化点。本文分别采用灰度均值和边缘进行仿真实验。 设f(x,y)是原图像,v(x,y)是目标特征,则由拉普拉斯算子边缘:
(1) 离散形式为:
(2) 灰度均值:
(3)2.2 目标区域检测
将图像分割成重叠正方形区域,并计算每个区域的边缘和均值。如果某个区域具有较高的正值,则将它标记为ROI。判决准则为
(4)
(5) 式中的T 为由实验确定的门限。2.3 灰度变换
灰度变换是最简单的但很有效的对比度增强方法,它是将原图像的灰度函数经过一个变换函数变换成一个新的图像函数,设g(x,y)是变换后的图像,则:
(6) 灰度变换方法主要有三种:线性、分段线性和非线性变换。为了突出感兴趣的灰度区间,本文中,设原图像f(x,y)的灰度范围为[a,b],变换后的图像g(x,y)的灰度范围为[a´,b´],则线性变换为:
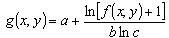
(7) 非线性变换采用对数函数作为映射函数:
(8) 式中a,b,c是给定的常数,用来调整曲线的形状。只要选择合适的参数,就可以相对抑制背景,防止钙化点被增强后的噪声淹没,不易识别。2.4 灰度重分布算法
基于目标特征的非线性灰度重分布图像增强方法的基本思想是对目标区域进行非线性灰度变换,对背景区域进行线性灰度变换,来增强对比度。算法具体步骤如下: (1) 读图 读入一幅图像,据公式(2)、(3)和(5)原图像特征D。 (2) 阈值化处理 设定目标特征的阈值(可以在实验中逐步调整)。 (3) 区域划分 本文实验中取该像素点的特征值D大于门限T时,将该像素归入目标区域,否则归入背景区域。 (4) 灰度变换 对目标区域进行非线性灰度变换,取对数函数(见公式(8))作为映射函数;对背景区域进行线性灰度变换(见公式(7))。只要选择适当的参数,增强图像的同时就可以达到相对抑制背景的目的。如图1所示。 (5) 融合 将分别处理后的图像融合,得到增强后的图像。
(a) 对数函数 (b) 线性函数 图1 灰度变换函数对比 3 试验结果及结论
为了验证本文提出的算法,利用乳腺X射线影像分别采用灰度均值和梯度作为目标特征进行仿真实验,均取得了理想的增强效果。选择灰度均值作为目标特征选择目标区域,当像素灰度值大于该像素的8邻域灰度均值时,该像素作为目标,否则作为背景。由此,将乳腺X线影像分为目标和背景两个区域,分别采用不同的变换进行增强。 直方图均衡处理调整灰阶的动态分布,将图像灰阶调整到近似均匀分布,增强图像整体的对比度。将本文提出的算法与直方图均衡的方法进行对比,实验结果如图2所示。其中图2(a)为原始图像,图2(b)为直方图均衡增强后图像,图2(c)为非线性灰度重分布增强后的图像。图3为灰度直方图分布对比。其中图3(a)为原图像的灰度直方图,图3(b)为直方图均衡处理后的灰度直方图,图3(c)为灰度重分布处理后的灰度直方图。可见,基于直方图均衡的方法,部分微钙化点被增强的背景组织淹没,而本文提出的方法达到了较好的增强效果。
(a) 原始图像 (b) 直方图均衡 (c) 灰度重分布
图2 增强结果对比
(a) 原始图像 (b) 直方图均衡 (c) 灰度重分布图3 灰度直方图分布对比 [1] J.H.Wouter, Veldkamp, Nico Karssemeijer. Normalization of Local Contrast in Mammograms[J]. IEEE Trans. on Medical Imaging,2003,19(7):731-738 [2] Guis Vincente H,Adel Mouloud,Rasiqni Monique,et al.Adaptive neighborhood contrast enhancement in mammographic phantom images[J].Optical Engineering,2003,42 (2):357-366 [3] Alex Stark J.Adaptive image contrast enhancement using generalizations of histogram equalization[J]. IEEE Transactions on image processing,2000,9 (5) : 889 -896 [4] Qiang Li, Hitetaka Arimura, Kunio Doi. Selective Enhancement Filters for Lung Nodules, Intracranial Aneurysms, and Breast Microcalcifications. Progress in Biomedical Optics and Imaging, San Diego United States,2004:929-934 [5] 王亚栋,张建州.基于双正交小波的乳腺图像增强.计算机工程与应用,2004,40(5): 221-223