H.264中基于参考帧提前截止的快速运动搜索算法
来源:岁月联盟
时间:2010-08-30
1 引言
远距离音视频同步交互是多媒体技术应用和的一个重要方向和趋势,而这其中的一个关键技术就是视频压缩技术。H.264/AVC是由ISO/IEC MPEG(运动图像专家组) 和ITU-T VPEG(视频编码专家组)组成的JVT( 联合视频专家组) 制定的一项视频压缩技术标准,它使得运动图像压缩技术上升到了一个更高的阶段。在较低带宽上提供高质量的视频传输服务是H.264/AVC应用亮点,在同样的视觉质量前提下,比H.263和MPEG-4节约了50%的码率[1],而且对IP和无线传输具有更好的支持功能。原因是引入了当前视频编码中的许多新技术,包括多种宏块分割模式、多参考帧、4×4整数变换等。新技术的使用使H.264获得优越的性能,但同时也使其复杂度大幅度增加,严重限制了H.264在实时要求下的应用。其中,大部分的编码时间都集中在运动搜索上[2],因此,要降低编码器的复杂度,首先要对运动搜索算法进行优化。 在视频电话、视频会议等低比特率的视频应用中,图像序列往往是运动平缓、背景静止的头肩序列。这些序列经运动补偿后残差的绝对值一般都很小,再经过DCT变换和量化后很容易成为全零块。如果能提前预测出这些准全零块,就可以节约大量的编码时间。本文根据H.264中采用的4×4整数DCT变换和量化的原理,给出了准全零块的检测条件,然后通过运动搜索的中间值SAD,将检测条件与搜索算法有机结合在一起,有效提高了编码效率。2 H.264的运动搜索结果在DCT变换和量化中的变换过程
为了解决以往视频编码标准中DCT正反变换的失配问题,H.264中采用了基于4×4子块的整数DCT变换,其正向变换公式[3]为:
(1) 其中,X是 4×4块残差信号;W 是二维DCT的变换核,通过加减法和移位运算就能完成;Q称为正变换尺度调整矩阵;符号⊕ 表示W中的每个元素乘以矩阵Q中对应位置上的系数值的运算;正变换矩阵Cf定义为:
(2) H.264采用标量量化技术,将每个图像样点编码映射成较小的数值,并灵活地使用计算技巧,避免了除法和浮点运算。具体的量化过程的运算为:
(3) 其中,Wij 为W的系数,f是一个修正参数,对于帧内编码宏块取2qbits/3,对于帧间编码宏块取2qbits/6。倍增因子MF在不同位置的取值为:
(4) 当r =0时,(i, j) = {(0, 0),(0, 2),(2, 0),( 2, 2) }; 当r =1时,(i , j) = {(0, 1),(0, 3),(1, 0),(1, 2),(2, 1),(2, 3),(3, 0),(3, 2)}; 当r =2时,(i, j) ={(1, 1),(1, 3),(3, 1),(3, 3) }。 在量化过程中,量化参数QP共有52个值。当QP取最大值51时,表示最粗糙的量化,当取最小值0时,代表最精细的量化。在实际应用中,可以根据需要在0~51范围内灵活选择。从量化公式可以看出,H.264中的量化为整数运算,并且避免了使用除法,确保用16位算法来处理数据,实现了最小的运算复杂度。3 基于参考帧提前截止的运动搜索算法
运动搜索是找出当前宏块在参考图像中最匹配位置的过程,即在指定的搜索路径中寻找最匹配的运动矢量。在所有的匹配搜索算法中,全局搜索法可以得到最佳的匹配结果,但计算量很大。由于视频序列的时间相关性远大于其空间相关性,若被编码宏块相对静止或仅有小范围内的平动,经过运动补偿所得到的残差信号通常比较小,再经整数变换和量化后将成为全零,在这种情况下,继续进行搜索必将浪费大量的时间。基于此,在运动搜索的过程中设置适当的门限,这样,量化后成为全零的宏块将被提前检测出来,最匹配的运动矢量便为小于该门限的第一个矢量。下面通过推导给出全零块的检测门限。 在公式(3)中,W的系数Wij 可以表述为:
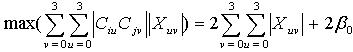
(5) 其中,Ciu为Cjv的系数Cf,残差矩阵的系数为Xuv。 根据三角不等式的特点,对上式进行变形,可得:
(6) 又由正变换矩阵Cf的定义,
在不同位置的最大值归纳如下:
(7) 将(6)式中不等号右边的式子展开,并代入(7)式的结果,得到该部分的最大值:
(8) 其中,
根据以上各分支的推导,(3)式中量化值
的上限为:
(9) 在(9)式中,
恰好为4×4块的绝对差和SAD4×4,如果
的上限小于1,则当前的4×4块为全零块,即全零块必定满足下面的条件:
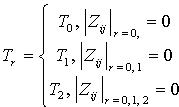
(10) 通过分析(4)、(9)和(10)式,可知r取不同值时,门限Tr和量化值的关系如下:
(11) 由于
和Tr都是r的函数,r发生变化,两者的关系也在相应的改变,Tr有三种取值状态,当Tr取T0或T1时,或r = 0, 1位置的量化值为零,即r = 1, 2或r = 2时
的值不定,为了使
在所有位置上取值为零,将T2作为4×4块的检测门限。 另外,如图1所示,其中宏块按照四种方式分割,即16×16、8×16、16×8和8×8,8×8模式还可以继续分解为4×8、8×4和4×4三种亚宏块。在运动搜索过程中,匹配搜索算法需要在每一种块模式中展开,若能及时确定宏块分割模式,模式选择的开销也必然会降低。
图1 7种宏块分割模式
考虑到多种宏块编码模式,结合4×4块检测门限的定义,得出适合于各种块模式的门限如下:
(12) 其中M, N= 4、8或16,BM×N是M×N 块中4×4块的个数,a2为r = 2时a的取值。在判决公式(10)给定的情况下,自适应门限值会随着量化参数、MF、βW和块模式的改变而改变,当与运动搜索算法结合使用时,只需在匹配搜索过程中,将门限作为停止搜索的条件,其间用到的SAD由于是运动搜索的中间结果,对它的调用并不会增加编码器的复杂性。 基于以上分析,运动搜索的提前中止算法为:对于一种块模式M×N,其包含的每一个4×4块的值,得到自适应门限TM×N后,将其与当前块的SAD进行比较,若 SAD小于该门限,确定最匹配的运动矢量和块模式,同时跳出当前块的运动搜索;否则,记录当前的最佳矢量和块模式,并执行下一模式的搜索。4 实验结果
实验采用JM9.0测试模型,选取了四种有代表性的QCIF序列(①Miss am,②Mother & Daughter,③Silent和④Forman),其中,Forman的运动最为剧烈,且人物和镜头都在晃动;Silent的背景纹理复杂度最高,运动复杂度一般:Miss am和 Mother & Daughter (简称:M&D)中人物运动幅度较平缓,Miss am 的背景纹理最不明显。为了测试结果的准确性,各序列均取其前150帧。主要的编码参数设置如下:搜索范围为16,5个帧,帧率为30帧/秒,编码结构为I, CAVLC熵编码,Hadamard变换,率失真优化(RDO)和快速全运动搜索(FFMS)算法。表1
表1通过比较FFMS和基于全零块检测的运动搜索算法(AZBMS)的运行时间,给出了运用AZBMS后计算复杂度下降的百分比(单位:% )。由表中数据可知,随着QP的增加,各个序列计算复杂度下降的百分比也在增加,原因在于自适应门限值 门限值越大,运动搜索中止的越早,运行时间越短。对于运动剧烈的视频序列,其计算复杂度在QP为48时下降约71% ;对于背景纹理复杂的序列,当QP值大于23时,其计算复杂度下降的幅度几乎不受其纹理的影响,而对于运动幅度较小的序列,其复杂度下降的平均值为58%,最多可达82% ~90%。表2
测试指标采用峰值信噪比(PSNR)和比特率(Bit Rate)。表2为两种算法相比四幅序列的PSNR和比特率的变化量(负号表示降低),ΔP(单位:dB)表示PSNR 的变化,ΔB表示比特率变化的百分比。从表中可以看出,对实验中的视频序列,基于参考帧提前截止的运动搜索算法对PSNR 和比特率影响很小,且出现了少数信噪比不变或略有上升和比特率下降的情况,可见,该算法代价很小,对图像质量几乎没有影响。