一种基于离散小波变换的稳健的混淆盲视频水印技术
来源:岁月联盟
时间:2010-08-30
1 引言
近年来,很多视频水印技术相继诞生,视频水印技术与图像水印极为相似,他们都可以应用于保护著作版权等。然而,对于视频水印技术,有不同的一些应用,如新闻与商业广播的控制与监测[1,2] 或DVD 版权的保护[3]。 当设计一个视频水印相关的方案时,我们可以从图像水印的角度出发,把视频看成一系列连续的等时间间隔的静态图片。通常来说,静态图像与视频有很多的相似点,然而,它们之间还是有一定的区别,例如,视景分析,它为视频水印提出了很多不同于图像水印的方法。 水印的不可觉察性和稳健性是数字水印技术中的两个基本要素,其中一个很难防范的攻击为局部的随机篡改StirMark攻击[5,6]。这种攻击仍然是目前商业的水印工具中的一个广泛存在的技术难题。视频水印中有两种主要的方法,即水印的压缩域与非压缩域[14,15],任意一种方法都可以用DCT [12,15],DFT [13] or DWT [10,11]的系数来嵌入。 本文提出了一种新的基于DWT的混淆视频水印的方法,该方法可以有效地抵抗有损压缩,平均帧检测,帧丢弃和统计分析等攻击。我们可以用相同的水印重复地嵌入到同一视景的所有帧中以增加水印的稳健性。而不同的视景将用不同的水印来抵抗平均帧检测和统计分析攻击。这项工作同样可以应用于基于帧的水印非压缩方面。2 水印嵌入的步骤
2.1 水印嵌入模型的概念
水印嵌入与提取的一般模型在[8]中有详细的讨论,在嵌入之前,水印信号w(i) 通常要被预处理,以提高稳定性,不易感知性和更好的安全性。一种典型的模型是m-series调节,另一种频繁使用的策略是加密,包括对称与非对称加密。考虑到水印的安全性与算法的效率,本文采用对称加密,对于相同的视景,将会嵌入同样的水印来抵抗帧丢弃攻击。而对于不同的视景,我们可以分发不同密钥来降低它们的相关性,这样可以抵抗不同视景的统计分析检测。
2.2 水印信号的产生
在本文中,水印信号为一幅8-bit的灰度图片。首先,视频帧的大小将标准化为 256×256,而水印图像的大小可以通过以下的公式调整。
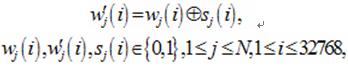
图2 水印被分发到不同的视景中 对于本文前面所述的安全性的问题,我们将使用不同的密钥,key1到 keyN,为水印加密,每个密钥作为产生的长度为32768的二进制随机系列sj(i)的种子,这些密钥要保存下来,以备提取水印时用于进一步的验证。 水印被加密的公式如下:
表示异或操作。2.3 嵌入水印信号
将一个 k-级的离散小波转换(DWT)成视频的帧,用于产生小波系数矩阵
,除
和LL系数矩阵之外。每个系数矩阵可以按照图3中的公式以 “Z” 字形嵌入。
图3 嵌入系数矩阵 对于被丢弃的HHi,占每个小正方形的四分之一,理论上来说,水印的嵌入比率为:
。如果在嵌入前将水印压缩,就可以明显地提高这个比率。从而为该技术在大容量中应用奠定了基础。 接下来一步就是用被更改过的系数进行可逆小波变换(IDWT),用水印重建帧。对于相同的视景,嵌入的水印图像是相同的,一旦视景变更了,水印也要随之变化,重复上述步骤直到所有的水印图像被嵌入到前N张视景中。3 水印提取的步骤
水印提起的过程与嵌入刚好相反,因此本文只作了如下的简要描述: (1) 对前N 幅视景进行DWT操作,并使用如下方法加密水印:

4 实验
在此实验中,我们使用一幅名为 “lean.bmp” (128×256 8-bit 灰色)的图片作为水印图像,它被裁剪成8块,从而产生8-bit平面,如图4所示。
图4 产生bit平面的示例 另外,在此实验中,我们准备了一个共有10个视景的视频,显然,m=10 ,n=3,p=1,q=2,N=23=8 。根据2.2描述的操作先产生水印信号,接着按照2.3中描述的水印嵌入的操作,就可以得到一个嵌入水印的新的视频。这个视频截图对比如图5所示。
原始视频 嵌入水印的视频图5 视频嵌入水印的前后比照 从图5中可以看出,两个视频的截图几乎完全相同,全凭肉眼是无法区分它们的。从而实现了水印的不易感知性。接下来就是按照第3部分中描述的步骤从视频中提取水印图像。为了测试此水印方案的稳健性,我们对此过程做了多种类型的攻击,最终得到的结果如图6所示。
(a)原始水印 (b)帧丢弃
(c) 压缩 (d )丢弃第5块
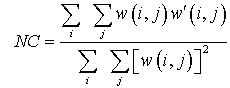
(e) 增加高度 (f) 裁剪若干点图6 从不同的视频中提取水印的结果比照 原始水印图像如图6(a)所示。丢弃若干帧后的水印提取结果如图6(b) 所示。经JPEG压缩后(比率为70%)的水印提取结果如图6(c) 所示。丢弃第5块后再提取水印图像的结果如图6(d) 所示。原图像增加亮度后提取水印图像的结果如图6(e) 所示。原图像裁剪若干点后提取水印图像的结果结果如图6(f) 所示。 我们将本文描述的关系规范化(NC),用源水印与提取后的目标水印来表示,这个过程可以由以下公式表示:
图7 在不同攻击下的所有NC值 可以看出,由于对相同的视景嵌入相同的水印和通过平均帧后,当部分帧丢失后,可以很好的测试出本文提出的方案的稳健性。由于对原始的水印图像进行 “Z” 字形分解,即使其中某一整个视景丢失,仍可以得到水印信息的绝大部分。5 结论
本文提出了一种基于混淆的水印方案,该方案可以明显提高水印的稳健性。水印信息被均匀地分布到视景中,而在每个视景中,通过平均帧,即使帧丢弃攻击也可以保证损失率很低。此外,在视频水印提取时,我们使用了盲视频的方案,从而为视频的实时控制提出了切实可行方案。[1]T.Kalker,G. Devopere,J. Haitsma and M.J.Maes,Proc. SPIE–Int. Soc. Opt. Eng. 103,3657 (1999) [2]G.C.Langelaar,R.L.Lagendijk and I.Setyawan,,IEEE Signal Process. Mag.,20,17(5) (2000)[3]I.J.Cox and J-P.M.G.Linnartz,IEEE J. Sel. Areas Commun.,1998,16 (4),pp. 587-593[4]Hartung,F.,and Kutter,M.:‘Multimedia watermarking techniques’,Proc. IEEE,1999,87,pp. 1079-1107[5]Petitcolas,F.A.P.,and Anderson,R.J.:‘Evaluation of copyright marking systems’. Proc. IEEE Multimedia Systems 1999,Florence,Italy,7–11 June 1999,vol. 1,pp. 574-579[6]Petitcolas,F.A.P.,Anderson,R.J.,and Kuhn,M.G.:‘Attacks on copyright marking systems’,in Aucsmith,D. (Ed.):Proc. 2nd Workshop on Information Hiding,Portland,OR,USA,14-17 April 1998,pp. 218-238[7]Voloshynovskiy,S.,Pereira,S.,and Pun,T.:‘Attacks on digital watermarks:Classification,estimation-based attacks,and benchmarks’,IEEE Commun. Mag.,2001,39,pp. 118-125[8]Cox,I.J.,‘Digital Watermarking’,Elsevier Science,2002[9]Boggess,A.,Francis,F. J.,‘A First Course in Wavelets with Fourier Analysis’,Prentice Hall,2001[10]Swanson,M.,Zhu,B.,Chau,B.,and Tewfik,A.:‘Multiresolution video watermarking using perceptual models and scene segmentation’. Proc. Int. Conf. on Image processing (ICIP),Santa Barbara,CA,USA,1997,pp. 831-834[11]Inoue,H.,Miyazaki,A.,Araki,T.,and Katsura,T.:‘A digital watermark method using the wavelet transform for video data’,IEICE Trans. Fundam. Electron. Commun. Comput. Sci.,2000,E83-A,(1),p. 90[12]Chae,J.,and Manjunath,B.:‘Data hiding in video’. Proc. Int. Conf. on Image processing (ICIP),Kobe,Japan,1999,pp. 311-315[13]Caldelli,R.,Barni,M.,Bartolini,F.,and Piva,A.:‘A robust frame-based technique for video watermarking’. Proc. European Signal Processing Conf. (EUSIPCO),Tampere,Finland,5–8 Sept. 2000,pp. 1969-1972[14]Langelaar,G.C.,Lagendijk,R.L.,and Biemond,J.:‘Real-time labeling methods for MPEG compressed video’. Proc. 18th Symp. On Information theory Benelux,Veldhoven,The Netherlands,15-16 May 1997[15]Hartung,F.,and Girod,W.:‘Watermarking of uncompressed and compressed video’,Signal Process.,1998,66,(3),pp. 283-301[16]Agung,I.W.,and Sweeney,P.:’ Video scene characteristic detection to improve digital watermarking transparency’,IEE Proc. Vis. Image Signal Process.,Vol. 151,No. 2,April 2004,p.146-152上一篇:基于非负矩阵分解方法的笔迹鉴别