债券融资中信息不对称问题研究

来源:岁月联盟 作者:李豫湘 时间:2010-07-03

 内容摘要:本文运用信息学的有关理论分别对债权融资的优势及劣势进行了分析。债权融资能够抑制和克服经营管理者的道德风险行为,但是会导致股东的道德风险。本文从博弈论分析方法入手,获得了债权融资中信息不对称问题的解决方法。

  关键词:信息不对称 负债融资 道德风险
  
  委托代理理论与债权融资
  
  委托代理理论
  根据詹林和麦克林(M·Jensen & W·Meckling)的定义,委托代理关系是指一种契约,根据这一契约,一个或多个行为主体指定,雇佣另一些行为主体为其提供服务,同时授予后者一定的决策权利,并依据其提供服务的数量和质量支付相应的报酬。这种关系,实质上是一种非对称信息条件下所结成的关系,在契约当事人之间,由于相关信息和风险的分布均不对称,拥有不完全信息而必须承担风险的一方成了委托人,而拥有和支配更多信息但属于风险规避者的一方则为代理人。的所有权和经营权相分离产生了委托人和代理人之间围绕着风险分配所作的一种契约安排,所以,委托代理过程中又会出现一些问题。处于委托代理关系的双方都是效用最大化者,双方的效用函数不尽相同,相关信息在两者之间分布不对称,代理人有可能在实现自身利益最大化的过程中有损委托人的权益,这便是委托代理过程中出现的委托代理问题。
  债权融资的优势与劣势
  所有权和经营管理权分离的公司制企业中,企业的经营管理者从控制企业的活动中取得的收益不仅包括薪酬等金钱方面的收益,而且还包括他从企业家活动中得到的各种非金钱方面的效用满足。当企业的创业经营者为扩大企业规模,通过公司发行股票筹集资金时,如果企业的经营管理者持有公司的股份,那么企业发行股票将会使经营管理者的持股比例变小。由于经营管理者拥有的股权份额小,即使他努力工作,增加了企业的绩效,使股权所有者效用最大化,但由于他的要求权小,不能得到全部的由于努力工作增加的收益,相反,却要承担这种行为(努力工作)的全部成本。企业经营管理者以追求个人收益最大化为目的,在通过增加在职消费提高自己的非现金收益的同时减少在管理公司资产方面所投入的精力,采取有利于自己而不利于股东的投资策略,这就是经营管理者的经营道德风险。
  对于解决股权融资中经营管理的道德风险问题,转换融资方式,使企业投资所需要的部分资金通过负债的方式来筹集被认为是比较有效的方式。
  债权融资较之股权融资具有更积极的激励机制和更少的道德风险,能减少道德风险和逆向选择从而改善公司治理结构,进而影响企业未来的现金流入和市场价值。债权融资可以有效地发挥对经营管理者的监督约束作用。债权约束是一种硬预算约束,这种“硬约束”主要体现在三个方面:一是到期必须归还本金和利息;二是只有符合条件的企业才能取得债务资金;三是负债的破产约束。这种“硬约束”将减少经营管理者可用于享受其个人私利的自由资金流量,从这个角度看,债务支出削弱了低效投资的空间,从而可以抑制经营管理者过度投资行为。而且,债务可作为一种担保机制,能够促使工作人员多工作、少享受,做出最好的投资决策,降低因所有权与控制权分离而导致的代理成本。当债务人无力偿债或企业需要以再融资偿还到期债务时,债权人就会根据债务合同对企业的财务状况进行调查,揭示企业的信息,加强对经营管理者的监督和约束。
  在债权融资中信息不对称的存在会影响经济主体的投资行为和投资激励。当外部投资者预期到自己处于不利的地位,并有可能承担因信息不对称带来的风险时,外部投资者可能会减少或者放弃对企业的投资使企业无法筹集到足够的项目投资资金,即使投资,外部投资者也会将这种信息不对称的风险考虑到投资收益要求中去,从而增加了企业的融资成本。由于存在逆向选择,外部投资者不知道企业的实际价值,只知道平均价值必然导致部分优质企业的价值被低估出现投资不足,甚至退出市场;部分劣质企业的价值被高估出现非效率投资。
  
  信号传递理论与债权融资
  
  债务的信号传递功能可以减少信息不对称程度。根据不对称信息理论,在信息不对称时,缺乏信息的一方会在市场上搜寻信息,而拥有信息优势的一方也会通过市场渠道向外界传递优势信息。在信息不完全的条件下,债权融资较股权融资更能传递积极信号,从而有利于降低融资成本和提升企业价值。罗斯的信号传递理论认为:企业经营管理者对融资方式的选择实际上向投资者传递了信号,由于破产概率与企业质量负相关而与负债水平正相关。投资者将企业发行股票融资理解为企业资产质量恶化,财务状况不佳;债务融资则相当于经营管理者对企业的未来业绩有良好的预期,是企业资产运作良好的信号。因为当企业的经营业绩较低时,债务有较高的破产边际成本,经营管理者就不敢模仿高业绩的企业增加较多的债务。所以企业的价值与负债率正相关,越是高质量的企业,负债率越高。
  作ROSS模型如下:
  假定:企业经营管理者知道企业在第二阶段中的市场价值的真实分布函数,而投资者不知道,在第二阶段,企业市场价值由公众预期的利润分布决定。经营管理者比外部投资者拥有更多的关于企业赢利能力的信息。在第一阶段,经营管理者力图通过发出信号使公众对其企业价值给予正确的评价,达到分离均衡。但在第二阶段的企业价值将会受到第一阶段行为的影响:如债务对后一阶段有影响,经营管理者必须兼顾第一阶段的负债显示企业质量与其作为代价对后一阶段经营的影响。在第二阶段,企业市场价值(由其获取利润的能力决定)的分布函数是根据一阶随机占优排序的,即企业愈好,其市场价值分布区域的上限愈高。
  博弈行动顺序为:
  第一阶段:企业经营管理者通过发出信号,让市场投资者知道是高质量企业,从而踊跃购买股票和债券,因而给予其股票债券较高价格,赋予企业较高价值。
  第二阶段:企业用以金融市场上融来的资金进行经营,此时,企业的市场价值由其预期利润的资本化决定,而由于利润率是随机的,故为一随机变量,但高质量企业获高利润的概率较大。
  对企业经营管理者来说,企业市场价值愈高,个人福利就愈大,相反,当企业破产时,经营管理者将受到惩罚。
  假定:两个时期,两个局中人,即企业经营管理者和投资者。
  令V为企业在第二时期的市场价值(预期利润流的资本化),V在区间[0,θ]上均匀,经营管理者知道θ,而投资者只知道θ的概率分布(先验概率)U(θ)(θ是企业的类型),θ愈大,企业质量愈高。第一阶段,经营管理者先选择负债水平D,从而通过金融市场上的行动决定企业市场价值V0;在第二阶段,企业用金融市场融来的资金实现利润(受到第一阶段负债D的不利影响,D愈大,第二阶段破产概率愈大)。
  假定:经营管理者效用函数是第一、二阶段企业市场价值的加权平均。
  在第一阶段,企业市场价值
  
  L为破产惩罚
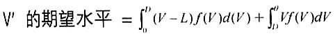
  经营管理者将第二阶段价值 V′的期望水平作为指标,从而进入函数,进行加权。
  V′的期望水平
  

 (因为f(V)在[0,θ]上均匀分布,有f(V)=—— )
                     θ
  
  
  效用(支付)函数为:
  
  其中r为加权权数
  因第二阶段企业市场价值期望水平为
  为第二阶段企业的期望价值。
   D
  ——是企业的破产概率,即
   θ
 

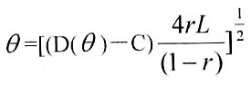
  假定D≤θ,设经理选D时,投资者观察到D后,认为属于类型θ的概率(后验概率) 为,则他认为企业类型的期望值为

  下面只考虑分离均衡:
  因有 ,存在分离

均衡的单一信号区间。
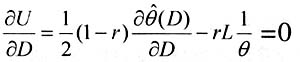
  经营管理者的最佳信号:
  
  因在分离均衡下,投资人从D正确地推断出θ,即当D(θ)是类型θ的企业经营管理者的最优选择,则有
  
  代入上述一阶条件
  
  于是得到经营管理者的均衡战略,即类型θ的企业经营管理者选择负债水平D(θ)
  
  
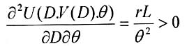
  此精炼均衡意味着:愈是高质量的企业 ,负债水平(及负债率)就愈高。尽管投资者不能直接观察到企业的质量,但他们通过观察企业的负债率来判断企业的质量,从而正确地给企业定价。
  弱化债权融资中信息不对称的措施
  我们可以再构造一个债权人与企业经营管理者的博弈矩阵,债权人可以在高、低的借贷水平之间选择,企业经营管理者可以在高、低的努力程度之间选择。
  博弈矩阵如下:
  
  P表示企业偿还贷款的概率,H表示概率高、L表示概率低,A表示债权人借贷规模,W表示经营管理者的工资,π(e,A,i)表示企业利润增加额,它受经营管理者努力程度、借款规模和利率的影响,t表示经营管理者对收益增加的要求权,C(eL)表示经营管理者努力工作的成本,V表示经营管理者的在职消费。
  假设:提高努力程度会减少在职消费;债权人对企业评价趋于平均水平(因为信息不对称) ;所有企业都采用相同利率i;债权人是风险中立型。
  债权人是风险中立型,经营管理者选择低的努力程度时,他会选择低借贷水平;当经营管理者选择高的努力程度时,他会选择高借贷水平。
  债权人选择低借贷水平时,由π(eL,AL,i)t-C(eL)+VH>π(eH,AL,i)t-C(eH)+VL可知经营管理者会选择低努力程度。债权人选择高借贷水平时,与企业治理结构的完善程度有关。当企业治理结构完善时,那么经营管理者的在职消费会受到一定限制,同时经营管理者通过努力也会提高企业利润,而且他对这一利润的要求权足以弥补高的努力程度带来的成本和在职消费降低,即:π(eH,AH,i)t-C(eH)+VL>π(eL,AH,i)t-C(eL)+VH,由上式可知他会选择高的努力程度;当企业治理结构不完善,那么π(eL,AH,i)t-C(eL)+VH>π(eH,AH,i)t-C(eH)+VL,经营管理者会选择低的努力程度。由于债权人对企业评价趋于平均水平,逆向选择会把质量好的企业驱逐出借贷市场,而被高估的企业留了下来。总之,无论债权人选择何种借贷水平,管理者都选择低的努力程度,此博弈的均衡解为(低借贷水平,低努力程度)。
  我们可以将这博弈扩展到无穷多次,债权人和经营管理者关注的不仅仅是一次博弈的得益,他们更关注无数次博弈得益的贴现值。治理结构完善的企业,如果一直选择高努力程度,则债权人也会选择高借贷水平;而治理结构不完善的企业,如果一直选择低努力程度、债权人选择低借贷水平,但是只要经营管理者每次都选择高努力程度则债权人也会选择高借贷水平,最终均衡为(高借贷水平,高努力程度)。
  由以上分析,我们可得如下结论:
  完善公司治理结构。由以上博弈可以看出:公司治理结构不完善,内部人控制强化了我国公司债权融资中的信息不对称问题。针对上述问题,应大力推进企业改制,建立有效的公司治理机制。
  规范信用评级制度。如果评级机构能够对企业做出公正的判定,则可以降低信息成本、控制市场风险、使资源配置更有效、避免在一次博弈中由于信息不对称导致高质量企业退出借贷市场的现象。
  破产机制的约束。没有破产机制则不能对管理者进行有效的约束,实现企业负债水平的信号传递,也依赖于破产机制的约束。所以应加快完善相关制度,确保公司债券市场兑付风险发生时可最大限度地保障投资者利益,降低债权融资的信息不对称。


  :
  1.张维迎.博弈论与信息学.上海人民出版社,2002
  2.何志刚.信息不对称与我国公司债券融次.商业经济与管理,2003
  3.许玫.道德风险与企业债务融资方式分析.上海经济研究,2003
  4.郭斌.信息不对称与企业债务融资方式选择.西南,2003
  5.蒲勇健.博弈论与经济模型.重庆大学工商管院研究生学位课程《高等经济学》讲义,2004